Military service
Burial/memorial information
Digital gallery of Flight Sergeant Earl Stewart Rheaume
-
Newspaper Clipping
From the Ottawa Citizen. Submitted for the project, Operation: Picture Me -
Photo of Earl Rheaume
-
Letter to Mrs Rheume from the Chaplain
-
Last mission
-
Letter
-
Telegram
-
Last mission
-
Crest
-
Newspaper Clipping
-
Service Booklet
-
Service Booklet Page 2 & 3
-
Service Booklet Page 4 & 5
-
Service Booklet Page 6 & 7
-
Photo of Crash Site Excavation
-
Photo 2 of Crash Site Excavation
-
Photo 3 of Crash Site Excavation
-
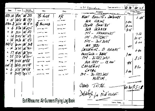
Log Book
-
Final Salute to Heroes
-
Group Photo
-
Photo 2 of Group
-
Certificate
-
Lest we forget poem
-
Newspaper Clipping
-
Newspaper Clipping
-
Details of crash (1 of 3)
-
Details of crash (2 of 3)
-
Details of crash (3 of 3)
-
Newspaper Clippings
-
Original Gravemarker
Original burial place of Earle Rheaume -
Original Gravemarker
Photo 2 of Earl Rheaume's original burial location. -
Gravemarker
Final Resting place. -
Crash Report (Page 1 of 2)
-
Crash Report (Page 2 of 2)
-
Log Book
-
Map of Crash site
-
Group Photo
Earl Rheaume; Back Row circled. Submitted for the project, Operation: Picture Me. -
Memorial
Flight Sergeant Earl Stewart Rheaume is also commemorated on the Bomber Command Memorial Wall in Nanton, AB … photo courtesy of Marg Liessens -
Memorial
Flight Sergeant Earl Stewart Rheaume is also commemorated on the Bomber Command Memorial Wall in Nanton, AB … photo courtesy of Marg Liessens -
Memorial
Father J P Lardie's comments as inscribed on the Bomber Command Memorial Wall in Nanton, AB … photo courtesy of Marg Liessens -
Photo of EARL STEWART RHEAUME
Submitted for the project, Operation Picture Me -
Photo of EARL STEWART RHEAUME
Submitted for the project, Operation Picture Me -
Document
Submitted for the project, Operation Picture Me -
Certificate
Submitted for the project, Operation Picture Me -
Document
Submitted for the project, Operation Picture Me -
Document
Submitted for the project, Operation Picture Me -
Letter
Submitted for the project, Operation Picture Me -
Letter
Submitted for the project, Operation Picture Me -
Attestation paper
Submitted for the project, Operation Picture Me -
Document
Submitted for the project, Operation Picture Me -
Newspaper clipping
From the Toronto Star July 1942. Submitted for the project Operation Picture Me -
Newspaper clipping
From the Toronto Star July 1942. Submitted for the project Operation Picture Me
In the Books of Remembrance
Commemorated on:
Page 207 of the Second World War Book of Remembrance.
Request this page
Download this page
BERGEN-OP-ZOOM WAR CEMETERY Netherlands
BERGEN-OP-ZOOM WAR CEMETERY is located 39 Km north west of Antwerp and 19 Km after passing the Border into the Netherlands. The N11 connects Antwerp to Bergen op Zoom via Kapellen, Pulte, Hoogerheide and finally on to Bergen op Zoom.
On reaching Bergen op Zoom railway station, turn right onto the Bredastraat. Follow this road for 500 M where it becomes Wouwsestraatweg and carry straight on for 2.5 km. The street name has now changed to the Ruytershoveweg and the war cemetery can be found on the left 200 M further than the Canadian cemetery.
For more information, visit Commonwealth War Graves Commission.
The Poppy Design is a trademark of The Royal Canadian Legion (Dominion Command) and is used with permission. Click here to learn more about the poppy.
Did we miss something?
Contribute information to this commemorative page
Do you have photographs, information or a correction relating to this individual’s virtual memorial? Learn more about the CVWM and the information we collect.